無標題
- 識別資訊
- 登錄號:111303-001
- 著作者
- 責任者:勒保(武英殿大學士管理兵部事務)
- 資料類型
- 類型:檔案
- 層次:件
- 描述
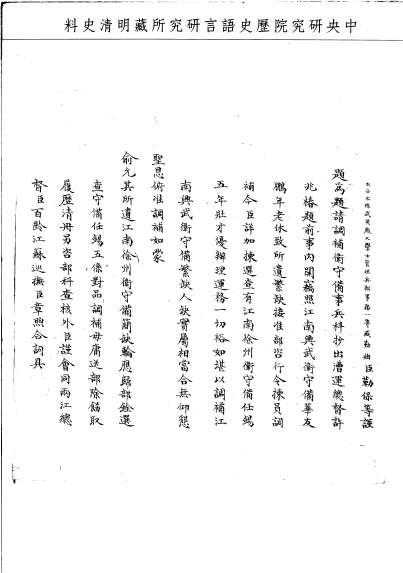
- 事由:題覆漕運總督許兆椿題江南興武衛守備華友鵬年老休致所遺繁缺請以江南徐州衛守備任錫五調補應如所請
- 典藏沿革:內閣檔庫
- 版本:原件
- 典藏沿革:內閣檔庫
- 日期
- 責任日期:嘉慶16年11月18日
- 格式
- 數量:1
- 範圍
- 責任日期:嘉慶16年11月18日
- 管理權
- 版權:中央研究院歷史語言研究所版權所有
- 使用限制:開放:開放影像:開放影像
- 授權聯絡窗口
- 請連結至「史語所藏品圖像授權申請」網站申請授權,網址:
https://copyrite.ihp.sinica.edu.tw/ihponlinec/ihponline?@@0.8397848014139848
TOP